Các phép đo sức căng bề mặt thường được tiến hành để định lượng sự hấp phụ của chất hoạt động bề mặt và các hạt tại bề mặt lỏng-lỏng. Mặc dù các thử nghiệm này cung cấp thông tin có giá trị liên quan đến sự hình thành nhũ tương, nhưng chúng không tiết lộ cấu trúc của lớp bề mặt hạt-chất hoạt động bề mặt được tạo ra đại diện cho độ ổn định của nhũ tương. Chúng tôi nghiên cứu ảnh hưởng của tinh thể nano cellulose (CNC) như một nguồn phân tán hạt nano xanh và tương thích sinh học đối với độ nhớt đàn hồi bề mặt dầu-nước và do đó đối với sự hình thành và độ ổn định của nhũ tương. Bằng cách so sánh dữ liệu độ nhớt đàn hồi với hình ảnh kính hiển vi điện tử quét đồng tiêu và quét trường lạnh của bề mặt dầu-nước, có thể thấy mô đun độ nhớt đàn hồi cao tương ứng với các cấu trúc liên kết của các hạt CNC được kích hoạt trên bề mặt tại bề mặt. Các phép đo sức căng bề mặt được tiến hành trong các hệ thống dầu-nước, trong đó cả hai chất lỏng đều có độ nhớt thấp để giảm thiểu tác động của lực nhớt khối. Do các loại dầu có độ nhớt cao được ứng dụng rộng rãi trong ngành thực phẩm, dược phẩm và dầu mỏ, chúng tôi đã nghiên cứu danh sách chất hoạt động bề mặt và mở rộng các phát hiện sang các loại dầu có độ nhớt cao – yêu cầu kiến thức về độ nhớt bề mặt giao diện.
Nanocrystal cellulose (CNC) là các hạt keo tinh thể, có nguồn gốc tự nhiên và có độ kết tinh cao được chiết xuất từ gỗ, bông hoặc các nguồn thực vật khác. CNC đã nhận được rất nhiều sự chú ý như các tác nhân ổn định nhũ tương. Trong nhũ tương ổn định bằng CNC, sự hấp phụ của CNC vào bề mặt, điện tích bề mặt của chúng và kích thước lớn đáng kể của chúng ngăn cản sự hợp nhất của các giọt, dẫn đến độ ổn định cao của nhũ tương Pickering được hình thành như vậy. Tác động của lực tĩnh điện và lực đẩy không gian lên nhũ tương ổn định bằng CNC đã được nghiên cứu rộng rãi. Tuy nhiên, các tính chất cơ học của CNC tại bề mặt lỏng-lỏng ít được chú ý hơn.
Độ nhớt đàn hồi bề mặt, biểu thị các tính chất lưu biến bề mặt, có thể ảnh hưởng đáng kể đến các đặc tính của bề mặt lỏng-lỏng. Phản ứng của bề mặt di động dưới các biến dạng cụ thể được sử dụng để mô tả độ bền của màng bề mặt
Lưu biến bề mặt giãn nở làm cho thấy hai tính chất bề mặt, tức là độ đàn hồi và độ nhớt, phát sinh từ sự thay đổi diện tích bề mặt. Các tính chất này có ảnh hưởng khác nhau đến sự hình thành và độ ổn định của nhũ tương. Sự phụ thuộc của sức căng bề mặt (IFT) vào mức độ và tốc độ thay đổi diện tích bề mặt lần lượt được gọi là độ đàn hồi và độ nhớt bề mặt . Mô đun đàn hồi (lưu trữ) và mô đun nhớt (thất thoát) thu được bằng cách thay đổi diện tích bề mặt theo hình sin và đo IFT thu được theo thời gian. Phản ứng của bề mặt được thể hiện dưới dạng tổng hợp độ nhớt và đàn hồi như:

trong đó E được gọi là “mô đun giãn nở bề mặt”. E được đo có hai phần: thực ( E ’) và ảo ( E ”), phản ánh độ đàn hồi và độ nhớt tương ứng. Trong nghiên cứu này, mô đun độ nhớt đàn hồi bề mặt của các bề mặt chứa CNC được đo bằng phương pháp đo sức căng thả quay (ODM) với KRÜSS DSA100.
Thí nghiệm
Chuẩn bị vật liệu và mẫu
Phân tán CNC 3 wt.% (Alberta Innovate) được sử dụng làm nguồn phân tán hạt nano. Các hạt nano CNC trong huyền phù có dạng thanh và tinh thể với chiều dài 100-500 nm và đường kính 5-15 nm. Hexadecyl trimethylammonium bromide (CTAB, Sigma) với nồng độ micelle tới hạn (CMC) là 0,92 mmol/L được sử dụng làm chất hoạt động bề mặt cationic. Các pha oleic là heptane (khan, 99%, Sigma: ρ = 0,684 g/cm 3, η = 0,376 mPa s ) và mẫu dầu khoáng nhớt
(Drakeol 35: ρ = 0,876 g/cm 3 , η = 135 mPa s) . Các phân tán CNC-CTAB được chuẩn bị ở các nồng độ khác nhau và được sử dụng để chuẩn bị nhũ tương và đo sức căng bề mặt /lưu biến.
Đo IFT và lưu biến bề mặt
IFT của các phân tán CNC-CTAB với pha oleic được đo bằng phương pháp giọt treo (DSA100, KRÜSS). Một giọt treo của pha nước được tạo thành với kim phun thép không gỉ (đường kính ngoài = 1,8 mm) ngâm trong mẫu dầu 40 mL. Chúng tôi ghi lại dữ liệu từ mẫu trong 8000 giây. Độ đàn hồi của bề mặt được đo bằng cách áp đặt nhiễu loạn hình sin vào diện tích bề mặt của giọt và phân tích phản ứng IFT bằng cách sử dụng phép biến đổi Fourier. Giọt dao động với tần số 1 Hz và biên độ 5% diện tích bề mặt giọt, được tìm thấy thông qua một nghiên cứu có hệ thống trước đó, để đảm bảo tính tuyến tính của phản ứng. Các phép đo được tiến hành với thuốc nhuộm trong pha dầu và pha nước, vì các mẫu này được sử dụng sau đó trong các thử nghiệm chất hoạt động bề mặt
Kết quả
Độ nhớt đàn hồi bề mặt
IFT của phân tán CNC nguyên chất vẫn không đổi khi thay đổi thể tích (diện tích bề mặt) của giọt (Hình 1a). Ngược lại, IFT của dung dịch CTAB nguyên chất phản ứng với các chu kỳ biến dạng với sự thay đổi hình sin (Hình 1b). Đối với các chất hoạt động bề mặt hòa tan như CTAB và các hạt CNC biến đổi bề mặt, khi diện tích bề mặt thay đổi, sẽ có sự trao đổi chất hoạt động bề mặt và các hạt giữa khối với bề mặt cho đến khi đạt được sức căng bề mặt cân bằng. Do đó, trong các hệ thống này, sức căng bề mặt không phải là hằng số và phụ thuộc vào mức độ và tốc độ thay đổi diện tích và tốc độ hấp phụ/tách hấp phụ chất hoạt động bề mặt đến và đi từ bề mặt. Biên độ biến đổi IFT trong phân tán CNC-CTAB (~ 1 mN/ m ) tăng đáng kể so với dung dịch CTAB nguyên chất (~ 0,5 mN/ m ); xem Hình 1c. Chất hoạt động bề mặt (phân tử CTAB) nhỏ hơn so với các hạt CNC biến đổi bề mặt. Do đó, chúng có thể có tốc độ hấp phụ-tách hấp phụ cao hơn và phản ứng nhanh hơn với các biến thiên diện tích. Hình 1d cho thấy độ đàn hồi bề mặt(trục trái màu đỏ) và độ nhớt (trục phải màu xanh lam) trên một phạm vi nồng độ CNC ở nồng độ CTAB là 0,05 (ký hiệu hình tròn), 0,10 (ký hiệu hình tam giác) và 0,50 (ký hiệu hình vuông) CMC. Ở tất cả các nồng độ đã thử nghiệm, độ lớn của độ nhớt bề mặt nhỏ hơn đáng kể so với độ đàn hồi. Độ lớn của sự tăng cường độ đàn hồi bề mặt phụ thuộc vào cả nồng độ CNC và CTAB. Hình 1d chỉ ra ngưỡng nồng độ CNC (0,5 wt.%) mà tại đó mô đun đàn hồi của hệ CNC-CTAB tăng lên đáng kể. Độ nhớt đàn hồi tăng lên khi có mặt các hạt CNC-CTAB so với độ nhớt đàn hồi của dung dịch chất hoạt động bề mặt có thể là do kích thước lớn hơn của các hạt CNC-CTAB được hấp phụ tại bề mặt.

Sự hình thành nhũ tương
Nhũ tương được chuẩn bị từ cùng một thể tích pha dầu và pha nước bằng cách lắc hoặc khuấy từ. Nhũ tương dầu trong nước (O/W) được tạo ra và độ ổn định của chúng phụ thuộc vào nồng độ CNC-CTAB. Phân tán DI-nước và CNC không tạo thành nhũ tương bằng các kỹ thuật năng lượng đầu vào thấp do IFT cao ( 46 – 50 mN / m ) của các hệ thống này. Các dung dịch CTAB nhũ hóa dầu, nhưng nhũ tương chỉ ổn định trong khoảng 20 phút. Nồng độ CNC và CTAB tối thiểu để tạo ra nhũ tương ổn định lần lượt là 0,50 wt.% và 0,10 CMC. Hình 2 trình bày sự hình thành nhũ tương và các vùng nhũ tương ổn định/không ổn định trên mặt phẳng nồng độ CNC-CTAB. Nhũ tương được tạo ra từ bốn phân tán (CNC, CTAB) ở (0,5 wt.%, 0,1 CMC), (1 wt.%, 0,1 CMC), (0,5 wt.%, 0,5 CMC) và (1 wt.%, 0,5 CMC) vẫn ổn định trong hơn 6 tháng. Bốn phân tán này có mô đun đàn hồi bề mặt cao (trong khoảng ~ 40 – 50 mN / m ) so với các phân tán CNC-CTAB khác (Hình 1d).

Nhũ tương pha bên trong chiếm tỉ lệ trung bình
Nhũ tương pha bên trong chiếm tỉ lệ trung bình (MIPE) được tạo ra bằng cách thêm các thể tích dầu liên tiếp vào các nhũ tương ổn định ban đầu. Hình 3 cho thấy các ảnh chụp cộng hưởng của nhũ tương được chuẩn bị ở (CNC 1,00 wt.% + CTAB 0,10 CMC) với Vdầu /Vnước là 1, 2, 3 và 4. Pha dầu và các hạt CNC được hiển thị lần lượt bằng màu xanh lá cây và màu cam. Hình ảnh cộng hưởng cho thấy sự hiện diện của các hạt CNC trên bề mặt của các giọt dầu.
Kích thước giọt trung bình tăng khi Vdầu /Vnước tăng từ 1 đến 4. Khi thể tích dầu tăng, độ bao phủ của các hạt CNC-CTAB tại bề mặt giảm, do đó, nhũ tương có giọt dầu lớn hơn được hình thành.

Bề mặt dầu-nước nhớt ổn định CNC-CTAB
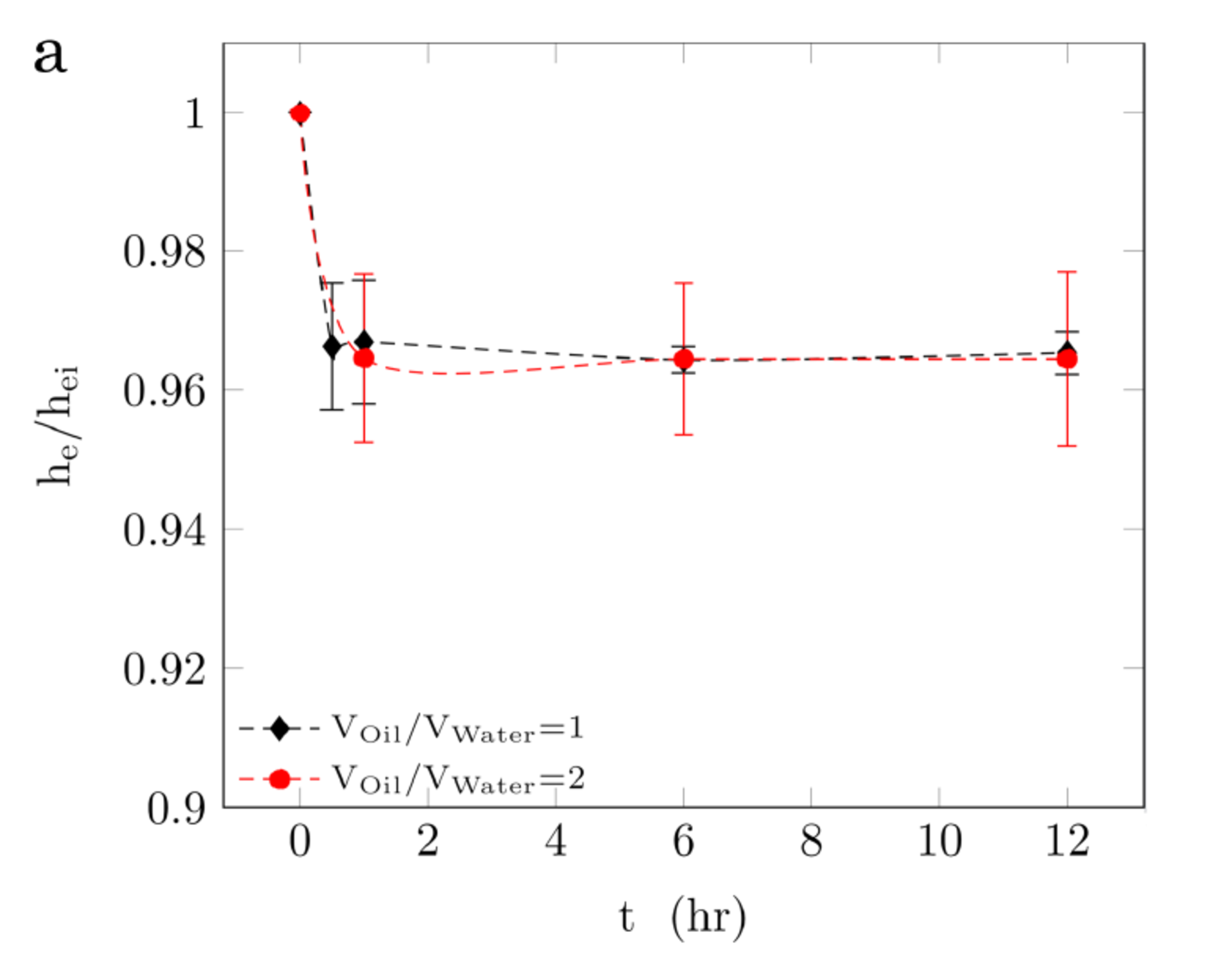
Chúng tôi tiến hành các thí nghiệm nhũ hóa đầu vào năng lượng thấp với các phân tán CNC-CTAB và một mẫu dầu khoáng có độ nhớt cao (η = 135 mPa s ). Tương tự như các hệ heptan, nhũ tương không được tạo ra với các phân tán CNC tinh khiết và các nhũ tương được tạo ra với các dung dịch CTAB tinh khiết ổn định trong vòng chưa đầy một giờ. Phù hợp với hệ heptan, các phân tán có CNC ≥ 0,5 wt.% và CTAB ≥ 0,1 CMC tạo thành các nhũ tương ổn định với dầu khoáng có độ nhớt. Hình 4a cho thấy các nhũ tương được tạo ra với các phân tán này có độ ổn định cao, với mức giảm thể tích nhũ tương dưới 10% trong 12 giờ. Tương tự như trường hợp heptan, các giọt dầu khoáng được tạo ra khi lắc có bán kính trung bình là 200 μm . Hình 4b cho thấy sự phân bố kích thước giọt và kích thước giọt trung bình của nhũ tương pha bên trong môi trường được tạo ra (Vdầu /Vnước của 1, 2, 3 và 4) với phân tán CNC 1,00 wt.%-CTAB 0,50 CMC.
Mặc dù mật độ pha dầu, độ nhớt và độ phân cực có thể ảnh hưởng đến các đặc tính bề mặt dầu-nước, các phân tán CNC-CTAB tạo thành nhũ tương ổn định với heptan tạo ra nhũ tương ổn định với dầu khoáng có độ nhớt cao và cả hai nhũ tương đều có giá trị ổn định và kích thước giọt trung bình gần nhau. Các phân tán tạo ra nhũ tương ổn định có giá trị độ nhớt đàn hồi bề mặt tối đa tại bề mặt heptan-nước. Do đó, người ta có thể gợi ý rằng các đặc tính bề mặt, được đo cho bề mặt heptan-nước, cũng có thể cung cấp thông tin về các điều kiện cần thiết để tạo ra nhũ tương dầu có độ nhớt cao ổn định, trong đó không thể đo trực tiếp độ đàn hồi giãn nở bề mặt. Trên thực tế, các giá trị độ nhớt khối lỏng cao có thể ảnh hưởng đến phản ứng của bề mặt đối với dao động, do đó, việc đo chính xác độ nhớt đàn hồi bề mặt trong các hệ thống dầu có độ nhớt cao dường như là một thách thức.


Tóm tắt
Trong bài nghiên cứu này, chúng tôi đo sức căng bề mặt của các hạt CNC được hoạt hóa bề mặt tại các bề mặt heptan-nước. Có một nồng độ CNC tối ưu mà tại đó độ nhớt đàn hồi bề mặt đạt đến mức ổn định và độ lớn của nó không tăng đáng kể khi tiếp tục tăng nồng độ chất hoạt động bề mặt-hạt. Nồng độ CNC-CTAB trên nồng độ tối ưu tạo ra nhũ tương dầu pha bên trong môi trường ổn định trong nước với cả heptan (đại diện cho mẫu dầu có độ nhớt thấp) và dầu khoáng (đại diện cho mẫu dầu có độ nhớt cao), sử dụng kỹ thuật nhũ hóa năng lượng đầu vào thấp. Do đó, dữ liệu độ nhớt đàn hồi bề mặt có thể được sử dụng làm chỉ báo cho sự hình thành và độ ổn định của nhũ tương và chúng tôi có thể mở rộng phát hiện của mình sang một mẫu dầu khoáng có độ nhớt lớn hơn heptan ba bậc độ lớn.
Bài viết của khách mời từ Đại học Calgary ở Alberta (Canada).
Minh Khang là nhà phân phối và nhập khẩu trực tiếp dòng sản phẩm Máy đo sức căng bề măt hãng Kruss.


EN